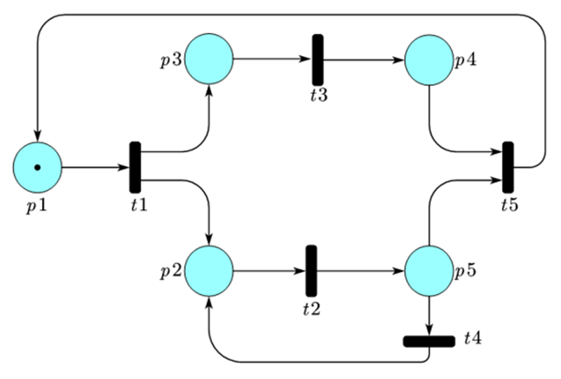
Redes de Petri. Una red de petri, es un grafo dirigido bipartito, con un estado inicial, llamado "marcación inicial". Los dos componentes principales de la red de petri son los sitios (también conocidos como estados) y las transiciones. Gráficamente, los sitios son dibujados con círculos y las transiciones como barras o rectángulos.. Una Red de Petri es una representación matemática o gráfica de un sistema a eventos discretos en el cual se puede describir la topología de un sistema distribuido, paralelo o concurrente. La red de Petri esencial fue definida en la década de 1960 por Carl Adam Petri. Son una generalización de la teoría de autómatas que permite expresar un sistema a eventos concurrentes.

Redes de Petri Matemática Informática y Educación

PPT Redes de Petri 1 ° Exercício PowerPoint Presentation, free download ID4115980

Aplicación de redes de petri en la modelación de sistemas de eventos discretos

RdP 3 Dinâmica da rede de Petri Redes de Petri YouTube

RdP 6 Exemplos de sistemas e respectivos modelos em redes de Petri Redes de Petri YouTube

RdP 2 Rede de Petri marcada Redes de Petri YouTube

REDES DE PETRI Arbol de alacanzabilidad II parte YouTube
Simulação de linha de produção por Rede de Petri

Matemáticas Discretas REDES (Teorema del flujo máximo y mínimo; Redes de Petri y de Pareo)

Matemáticas Discretas REDES (Teorema del flujo máximo y mínimo; Redes de Petri y de Pareo)

Redes de Petri by Diego Ojeda

4. Fig. 3. Red de Petri interpretada. PORTAFOLIO DE EVIDENCIAS Estos... Download Scientific

Marcado y evolución de una red de Petri. YouTube
Red de Petri Online Free

Redes de Petri 3 YouTube

Redes de Petri 1 YouTube

Matemáticas Discretas REDES (Teorema del flujo máximo y mínimo; Redes de Petri y de Pareo)

Redes de Petri Matemática Informática y Educación

Modelo de red de Petri para el sistema de posicionamiento GPS. Download Scientific Diagram

Aplicación de redes de petri en la modelación de sistemas de eventos discretos
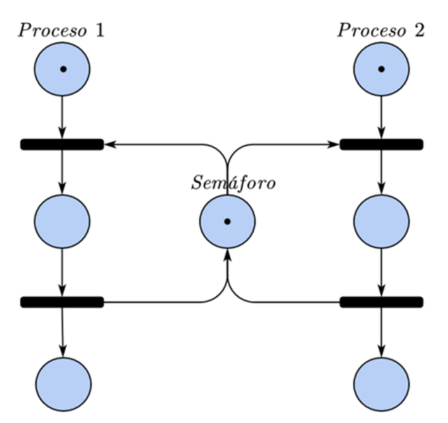
En el único tema de este módulo, estudiaremos los modelos de redes que usan gráficas dirigidas. Aprenderemos a maximizar el flujo a través de una red. Ésta podría ser una red de transporte por la que fluyen vehículos y personas, una red de tuberías a través de la cual corren fluidos, una red de computadoras por la que fluyen los datos.. Matemática, Informática, Educación. Redes de Petri. Las Redes de Petri son una teoría matemática postulada por el alemán Carl Adam Petri que proporciona una herramienta gráfica y matemática de modelado para la descripción formal de sistemas cuya dinámica se caracteriza por la concurrencia, sincronización, exclusión mutua y.